一文了解抗MDA5抗体临床应用价值
抗MDA5抗体由日本学者 Sato于 2005 年在临床无肌病性皮肌炎(CADM)患者中发现,命名为CADM-140,后来发现这种抗体的靶抗原为黑色素瘤分化相关基因5编码的蛋白(MDA5),更名为抗MDA5抗体。MDA5蛋白是胞质内病毒感受器,是维甲酸诱导基因(RIG)样受体家族成员之一,识别病毒双链RNA分子,可活化I型干扰素(Type I IFN)系统,参与机体抗病毒免疫[1]。
抗MDA5抗体常见于成人皮肌炎、临床无肌病性皮肌炎、幼年皮肌炎等特发性炎性疾病。特发性炎性肌病患者中抗体的阳性率为13%~30%,在成人皮肌炎患者中阳性率为5%~20%,幼年皮肌炎患者中阳性率为7%~38%,临床无肌病性皮肌炎患者中阳性率为23%~100%,亚洲皮肌炎患者中阳性率高于欧美皮肌炎患者(阳性率详见表1)。近期有研究发现,新冠盛行期间,抗MDA5抗体阳性的自身免疫病病例激增,可能与接触新冠病毒有关[2]。
表1. 抗MDA5抗体在不同疾病或患病人群中的阳性率

抗MDA5抗体阳性的皮肌炎被称为抗MDA5抗体阳性皮肌炎或MDA5型皮肌炎,以特征性皮肤溃疡和快速进展型间质性肺病(RP-ILD)为突出表现,患者ILD发生率高达90%以上[3],亚洲人群中发生RP-ILD的比例高,特别是在临床无肌病性皮肌炎患者中,我国研究显示约54%的MDA5型皮肌炎患者病程中发生RP-ILD,MDA5型皮肌炎相关RP-ILD 对常规治疗反应不佳,是患者死亡的主要原因[1]。 MDA5型皮肌炎是皮肌炎中预后最差的一个亚型,患者的死亡常发生在疾病的早期,近年来这类疾病受到临床的高度关注。
抗MDA5抗体是皮肌炎特异性抗体,在辅助皮肌炎分型、疾病活动度监测、疗效评估、监视复发、预后判断中具有重要的临床意义。
辅助诊断皮肌炎

抗MDA5抗体是支持MDA5型皮肌炎诊断的重要血清学指标,也是与其他结缔组织病进行鉴别诊断的重要参考指标,抗MDA5抗体检测有助于在缺少肌肉活检及临床表现不典型的情况下辅助诊断MDA5型皮肌炎。
2020年欧洲神经肌肉中心的皮肌炎分类诊断标准指出,患者有 Gottron征、Gottrn疹、Heliotrope 征中的一种表现,同时血清抗 MDA5 抗体阳性,即可诊断为MDA5型皮肌炎[4]。

图1. 2020 ENMC-DM分类诊断标准(简单示意图)
国内的专家共识提出,部分MDA5型皮肌炎无典型皮肌炎的皮疹如Gottron疹和Heliotrope征,而以 RP-ILD为主要临床表现,对这种无其他原因可解释的 RP-ILD应筛查抗MDA5抗体,抗体阳性者应考虑诊断MDA5型皮肌炎[1]。


疾病活动度监测

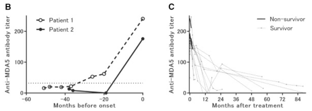
抗MDA5抗体水平的变化可用于评估RP-ILD的疾病活动性。一项针对抗MDA5抗体阳性皮肌炎患者的研究发现,2名合并RP-ILD患者在发病前存在抗MDA5抗体,在发病时抗MDA5抗体水平升到高水平(图2.B),此外还发现对于幸存者缓解期,抗MDA5抗体水平显著下降(图2.C)[5]。

图2. B.抗MDA5抗体随时间的滴度变化,使用两例PM/DM伴RP-ILD患者发病前的冷冻血清样本检测抗体滴度。抗MAD5抗体正常滴度< 32 U/ml(虚线)。C. 24例患者发病后抗MDA5抗体随时间变化的滴度。
一项纳入了12例合并RP-ILD的CADM/DM患者的研究,连续监测抗MDA5抗体水平。发现经治疗RP-ILD缓解后,血清抗MDA5抗体水平可显著下降,甚至转阴,血清铁蛋白水平也显著下降(图3)[6]。

图3. 12例CADM/DM患者治疗前后血清抗MDA5抗体水平及实验室数据。虚线表示正常水平的cut-off值。
疗效评估

抗MDA5抗体水平可用于评估对治疗的反应。日本的一项研究中,在抗MDA5抗体阳性皮肌炎合并RP-ILD患者中,对治疗有反应并存活的患者治疗前抗MDA5抗体水平显著低于对治疗无反应且死亡的患者(图4)[7]。提示抗MDA5抗体水平是评估治疗反应的有用标志物。

图4. 治疗有反应组与无反应组在治疗开始前抗MDA5抗体滴度比较
国内的一项队列研究中,抗MDA5抗体水平大于500 units/mL(阳性阈值为8units/mL)的患者对糖皮质激素/环磷酰胺或静脉注射免疫球蛋白治疗产生耐药性,并死亡。相反,抗MDA5抗体水平低于500 units/mL的患者肺部病变较轻,对常规治疗反应良好,治疗后皮肤溃疡和呼吸道症状得到改善(表2)[8]。因此,血清抗MDA5抗体水平有助于用药疗效的评估。

表2. 抗MDA5抗体阳性患者治疗前后皮肤溃疡及相关抗MDA5抗体水平及HRCT评分的比较
监视复发

抗MDA5抗体水平是监测CADM/DM患者RP-ILD复发的良好的预测指标。一项入组12例合并RP-ILD的CADM/DM患者的研究表明,RP-ILD复发时抗体水平会再次升高,而抗MDA5抗体水平未再次升高的患者在随访期间均未出现复发症状。此外,还发现持续阳性组患者的复发时间早于阴性转化组患者(图5)[6]。

图5 B.缓解期和复发期的抗MDA5抗体水平。C、D. 持续阳性和阴性转化组患者抗MDA5抗体水平的变化。
预后判断

抗MDA5抗体是判断预后的重要参数。国内一项纳入了330例皮肌炎患者的队列研究,患者分为经典皮肌炎患者(CDM)和无肌病性皮肌炎(CADM)患者,探讨了CADM和CDM的临床特征和死亡危险因素。研究发现抗MDA5抗体是CADM和CDM患者死亡的独立危险因素(图6、7)[9]。

图6 . CADM患者死亡的危险因素

图7. CDM患者死亡的危险因素
此外,抗MDA5抗体水平与皮肌炎伴ILD患者的预后相关。日本一项纳入了36例皮肌炎伴间质性肺病患者的回顾性研究发现急性死亡患者血清抗MDA5抗体和铁蛋白水平显著高于存活患者。高水平的抗MDA5抗体(≥100IU/mL)是预测皮肌炎伴间质肺患者急性死亡的标志物,具有良好的敏感性和特异性(图8)[10]。

图8. DM-ILD患者急性死亡预测因素的准确性

E N D

版权声明
本文仅作者转发或者创作,不代表旺旺头条立场。
如有侵权请联系站长删除
旺旺头条



发表评论:
◎欢迎参与讨论,请在这里发表您的看法、交流您的观点。